A Secretaria da Educação do Estado da Bahia (SEC) realizou, nesta sexta-feira (17), no auditório do órgão, no Centro Administrativo da Bahia (CAB), o sorteio eletrônico para as 12.395 mil vagas dos cursos técnicos de nível médio na modalidade subsequente, ou seja, para quem já conclui o Ensino Médio. As vagas dos 45 cursos ofertados são direcionadas para os Centros Estaduais de Educação Profissional (CEEP), Centros Territoriais de Educação Profissional (CETEP) e unidades compartilhadas na capital e em 97 municípios dos 27 Territórios de Identidade.
Os classificados no sorteio de acordo com o número de vagas por unidade ofertante deverão comparecer à unidade escolar para as quais concorreram à vaga, munidos de documentos como originais e cópias do histórico escolar, cédula de identidade, CPF e comprovante de residência com data recente, nos dias 29, 30 e 31 de janeiro, período da matrícula. As aulas serão iniciadas no dia 10 de fevereiro.
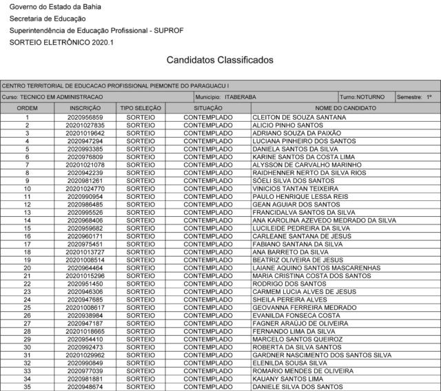
Confira os contemplados para os cursos em Itaberaba





Para ver a lista completa com Contemplados e Reservas em Itaberaba, clique aqui. É necessario que você tenha um leitor de PDF instalado em seu dispositivo para conseguir ver a lista completa.









